相对论数学原理,物质告诉空间如何弯曲,空间(2)
【作者】网站采编
【关键词】
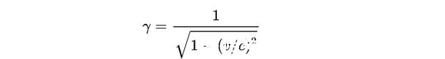
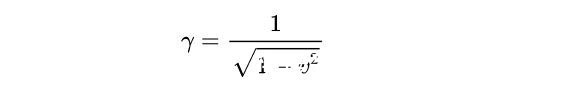
【摘要】假设c = 1,会变成: 对于学习者来说,这两个方程并不明显意味着相同的东西(它们确实是)。这里可能会有混淆的地方,因此我尽量在表达式中使用c,


文章来源:《应用数学和力学》 网址: http://www.yysxhlx.cn/zonghexinwen/2022/0222/1297.html